首页|工作动态|招生信息|招生政策|新生导航|招生计划|院系专业|招生简章|历年分数|考生问答|录取查询
当前位置: 首页>>工作动态>>工作动态>>正文

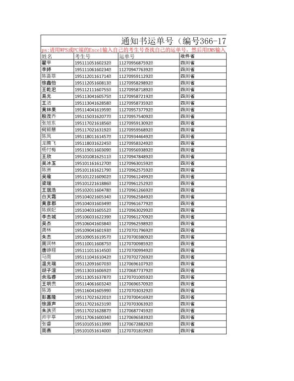
我校第二三批通知书运单号查询

2019年08月07日 10:39

我校第二、三批通知书寄往城市及录取类别:内蒙古本科二批、安徽本科二批、贵州本科二批、河北本科二批、宁夏本科二批、广西本科二批、黑龙江本科二批、江西本科二批、四川本科二批。

关闭

 
您是第 位访客
 

攀枝花学院招生就业处  地址:攀枝花市机场路10号
邮编:617000